優質的服務流程
· quality of service processes ·

需求溝通傾聽客戶需求,了解用戶使用環境和現場工況
方案設計根據現場實際工況,針對性出具解決方案
合同簽訂技術和商務規范確認,簽訂合作協議
產品制作選擇最優質的元器件,嚴格按照技術協議
調試安裝現場規范安裝,靜態動態調試,分析儀運行
售后服務后續維護,持續跟進,終身維修

全國熱線
銷售熱線
公司地址山東濟南市槐蔭區太平河南路1567號均和云谷濟南匯智港6號樓

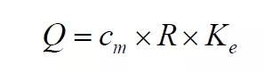
其中:
Q:排氣筒的允許排放速率,單位kg/h;
cm:環境質量標準濃度限值(小時值),單位mg/m3。首先取GB3095-2012中所覆蓋污染物的24小時平均濃度,其中不涵蓋的污染物再參考TJ36-79或前蘇聯標準CH245-71標準中的居住區大氣中有害物質的最大允許濃度,若以上標準中均不涵蓋的污染物則直接參考北京或上海現行大氣綜排中的較嚴格的排放速率。
R:排放系數,比如查標準江蘇地區15m和20m排氣筒分別取值為6和12;
Ke:地區性經濟技術系數,標準推薦取值為0.5~1.5,比如以江蘇非重點管控企業為例,可選經濟系數為1.0。


需求溝通傾聽客戶需求,了解用戶使用環境和現場工況
方案設計根據現場實際工況,針對性出具解決方案
合同簽訂技術和商務規范確認,簽訂合作協議
產品制作選擇最優質的元器件,嚴格按照技術協議
調試安裝現場規范安裝,靜態動態調試,分析儀運行
售后服務后續維護,持續跟進,終身維修